일반화학에 대한 서론
화학은 "변화에 대해 연구하는 자연과학" 입니다. 변화는 어디에서나 일어나고 있습니다. 우리 몸 속에서의 호흡과 소화 작용, 공기 중에서 쇠가 녹느슨 현상, 땅 속에서 생성되는 석유와 석탄, 태양이 방출하는 열과 빛 등 우리 주변에서는 물질이 끊임없이 변하고 있습니다. 어느 것은 느리게, 어느 것은 빠르게. 이러한 변화를 연구하다 보면 당연히 질문이 생기게 되는데, 각 질문에 대한 답변을 마련하는 과정이 바로 화학인 것 입니다.
그 첫번째 질문은 " 왜 변화하는가?" 입니다. "왜?" 이것이야말로 자연과학의 출발점이며, 원동력 입니다. 모름지기 자연과학을 연구하는 사람이면 누구나 자연 현상에 대해 끊임없이 질문을 던져야 합니다. "왜?" 간단하게 단하면 "안정한 상태가 되기 위해서", 즉 에너지를 낮추려는 경향이 "왜"에 대한 설명이 됩니다. 두번째 질문은 "무엇이, 어떻게 변화하는가?" 입니다. 이에 대한 답을 마련하기 위해서는 물질 자체와 물질의 성질에 대한 기본적인 이해가 요구됩니다. 세번째 질문은 "얼마나 빠르게, 어느 양까지 변화하는가?" 입니다. 이에는 물질을 분석하고 측정하는 기술이 필요합니다.
화학이 문명을 어느 정도 변화시켜 왔는가는 여러 증거로부터 알 수 있습니다. 대부분의 옷, 자동차 및 일상생활에서 볼 수 있는 모든 제품들은 20세기 전에는 없었던 재료들입니다. 최근에 와서 유기체의 생명작용이 다양한 화학반은에 의한 현상이라는 것이 밝혀짐으로써 생화학의 연구에 깊은 관심이 쏠리고 또 생명의 본성에 대한 지식이 커다란 진전을 이루어 졌습니다. 실험실에서 만들어진 의약품은 우리를 보다 건강하게 하였고 또 질병을 치료함으로써 우리의 수명을 연장하였습니다. 그러나 기술 성장에 의해 동반되는 부작용에 관한 문제를 알게 된 것은 최근의 일입니다. 앞으로 이러한 문제의 해결 방법이 화학의 커다란 과제가 될 것 입니다.
앞으로 과학이 어떻게 결과를 낳는가를 생각하고 화학자들이 관심을 갖는 물질의 개념을 살펴보고자 합니다.
과학적 방법
화학은 관심 대상을 조사하는데 과학적 방법(Scientific method)이라고 하는 특수한 방법을 이용하므로 과학의 범주에 포함됩니다.
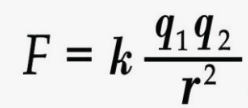
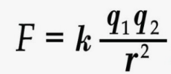
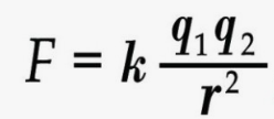
물리학, 생물학 및 심리학 등도 과학적 방법에 의해 발전되어 왔습니다. 이 방법은 몇 가지 단계로 구분되며 첫째 단계는 관찰(Obervation)입니다. 화학자는 자연에 관한 단편적 자료를 모으는 일부터 시작합니다. 예로 수소 기체와 산소 기체가 함께 연소 되면 맹렬한 폭팔이 일어나서 수증기가 생기는 것을 관찰할 수 있을 것 입니다. 이러한 유형의 관찰 자료에는 수치가 나타나지 않으므로 이를 정성적(Qualitative)인 자료라고 합니다. 화학자가 이와 같은 현상을 여러 번 측정한 결과, 온도와 압력이 같은 조건에서 수소기체 1㎥는 산소 기체 1/2㎥를 소모하여 수증기 1㎥를 생성한다는 것을 알게 됩니다. 이와 같은 관찰에는 수치가 포함되므로 정량적(Quantitative)이라 합니다. 정략적 측정은 정성적 관찰보다 많은 자료를 얻을 수 있으므로 과학자에게 더 도움이 됩니다. 다양한 관찰과 경험에 의해 많은 자료를 모은 후 이를 간결하고 보편타당한 수학적이 관계식으로 요약한 것을 법칙(Law)이라고 합니다. 이 법칙은 실험 결과에 대해 평가하는 수단으로 이용되기도 하고, 또 아직 시도하지 않은 실험 결과를 예측하는 수단으로 제공되기도 합니다. 예로서 같은 온도와 압력에서 수소와 산소가 반응하여 물이 생성되는 반응에 기존의 법칙을 적용하면, 산소기체 1부피가 수소 기체 2 부피를 소모한다는 정략적 결론을 예측할 수 있을 것 입니다. 즉 산소기체 5㎥이 있을때 최대량의뭉을 생성하려면10㎥이 필요하며, 생성되믄 물 기체의 최대량은 5㎥라고 예측할 수 있을 것 입니다. 법칙은 예천대 "전하를 가진 두 입자 사이의 힘은 전하의 곱에 비례하고 두 전하 사이의 거리의 제곱에 반비례한다"와 같이 단순히 말로 표현되거나 또는 다음과 같은 수식 형태로 표현됩니다.

여기서 F는 인력, q1과 q2는 두 입자의 전하, r은 두 입자 사이의 거리입니다. k는 상수.
'일반화학' 카테고리의 다른 글
| 원자의 구조 그리고 보어의 원자모형 (1) | 2025.04.11 |
|---|---|
| 원소와 원자 (0) | 2025.04.11 |
| 일반화학의 정의(4) (0) | 2024.11.30 |
| 일반화학의 정의(3) (4) | 2024.11.30 |
| 일반화학의 정의(2) (1) | 2024.11.30 |