온도
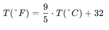
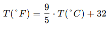
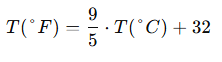
온도는 일반적으로 화씨,섭씨,절대온도 등의 세 가지 방법으로 나타냅니다. 이 중에서 화씨()온도는 물의 어는 점을 32로 하고 끓는 점을 212로 하여 어는점과 끓는점 사이를 180등분하며, 섭씨()온도는 물의 어는점()과 끓는점 사이를 100 등분하므로 화씨와 섭씨 사이는 다음과 같은 관계식이 성립합니다.

한편 절대온도()는 켈빈 경(1824~1907)으로 잘 알려진 William Thomson이 제한한 온도로 도달할 수 있는 제일 낮은 온도인 -273.15를 절대영도()로 하고 물의 어는점을 273.15 K, 끓는점을 373.15 K 로 정하였습니다. 섭씨온도와 절대온도의 사이는 다음 식으로 나타냅니다

길이
길이는 물체의 한 지점에서 다른 지점까지의 직선 거리를 나타내는 물리적 크기입니다. 일반적으로 길이는 미터(m)라는 국제단위계(SI) 단위로 측정됩니다. 예를 들어, 분자의 크기나 원자의 크기 등을 정의할 때 길이는 매우 중요한 역할을 합니다. 특히, 분자의 크기는 보통 Ångström(1 Å = 10^-10 m)이나 나노미터(1 nm = 10^-9 m) 단위로 측정됩니다.
화학에서의 중요성:
- 분자 구조: 분자의 형태나 크기를 이해하는 데 길이는 중요한 역할을 합니다. 분자의 결합 길이나 화합물의 크기를
파악함으로써 물질의 성질을 예측할 수 있습니다.
- 화학 결합: 화학 결합에 의해 원자들이 어떻게 배열되는지, 결합 길이가 어떻게 다른지를 알 수 있습니다.
예를 들어, 수소 결합의 길이나 공유 결합의 길이를 통해 물질의 반응성이나 안정성 등을
예측할 수 있습니다
- 원자의 크기: 원자는 고정된 크기를 가지고 있으며, 이는 주기율표에서 원자 반지름으로 나타납니다.
원자 반지름은 원자가 결합할 때 어떤 방식으로 상호작용하는지 이해하는 데 중요합니다.
부피
부피는 물체가 차지하는 공간의 크기를 나타내는 물리적 성질로, 일반적으로 입방미터(m³)나 리터(L)로 측정됩니다. 화학에서는 물질이 얼마나 많은 공간을 차지하는지, 그리고 그 물질이 다른 물질과 어떻게 반응할지 예측하는 데 중요한 정보가 됩니다.
화학에서의 중요성:
- 기체의 부피와 상태: 기체는 온도와 압력에 따라 부피가 변하는 특징을 가지고 있습니다. 보일의 법칙, 샤를의 법칙, 아보가드로의 법칙 등 기체의 상태를 설명하는 법칙들은 모두 기체의 부피와 관련이 있습니다. 예를 들어, 일정한 온도와 압력에서 1몰의 기체는 22.4리터의 부피를 차지합니다.
- 몰 부피: 물질의 몰 부피는 해당 물질이 1몰일 때 차지하는 부피를 의미합니다. 액체나 고체의 경우에도 물질의 밀도와 부피 사이의 관계를 통해 물질의 성질을 파악할 수 있습니다.
- 화학 반응에서의 부피: 화학 반응에서 물질의 부피 변화는 매우 중요합니다. 예를 들어, 기체 반응에서는 부피 변화가 반응의 진행을 나타낼 수 있으며, 이를 통해 반응 속도나 반응의 평형 상태를 분석할 수 있습니다.
질량
질량은 물체가 가지는 물질의 양을 나타내는 물리적 속성입니다. 물체의 질량은 그 물체가 다른 물체와 상호작용할 때 얼마나 많은 물질이 포함되어 있는지, 즉 그 물체의 "양"을 측정하는 개념입니다. 질량은 국제단위계(SI)에서 킬로그램(kg)으로 측정되며, 이는 모든 물체에 대해 일정한 값을 가집니다. 질량은 중력의 영향을 받지 않지만, 무게는 중력의 영향을 받기 때문에 질량과 무게는 구별됩니다.
화학에서 질량의 중요성
- 물질의 반응성: 화학 반응에서는 물질의 질량을 기준으로 반응 물질들의 비율을 결정합니다. 예를 들어, 질량보존법칙에 의하면 화학 반응 전후에 물질의 총 질량은 변하지 않으며, 이를 통해 반응의 양을 예측할 수 있습니다.
몰 개념: 질량은 몰(mol)이라는 단위로 물질의 양을 표현하는 데 사용됩니다. 1몰은 특정 물질의 질량이 그 물질의 몰 질량(g/mol)만큼일 때의 양입니다.
밀도
밀도는 물질의 질량과 부피 간의 관계를 나타내는 물리적 속성으로, 단위 부피당 질량을 의미합니다. 밀도는 다음과 같은 수식으로 정의됩니다.

밀도의 단위는 킬로그램 퍼 세제곱미터(kg/m³) 또는 그램 퍼 세제곱센티미터(g/cm³)로 나타낼 수 있습니다. 물질의 밀도는 해당 물질이 얼마나 압축되었는지, 즉 얼마나 많은 물질이 주어진 부피에 포함되어 있는지를 나타냅니다.
화학에서 밀도의 중요성
- 상태 변화 : 물질의 밀도는 온도와 압력에 따라 변할 수 있습니다. 예를 들어, 기체는 온도와 압력이 변화함에 따라 밀도가 급격하게 변합니다. 따라서 기체의 상태를 설명할 때 밀도는 중요한 변수로 작용합니다.
- 화학반응 : 액체나 고체에서 밀도는 물질의 특성을 결정짓는 중요한 요소입니다. 밀도를 이용하면 물질을 구분하거나 혼합물에서 특정 성분을 분리하는 데 유용하게 사용됩니다. 예를 들어, 부유물질을 밀도로 분리하는 실험이 가능합니다.
- 몰 부피 계산: 밀도는 물질의 몰 부피 계산에 사용됩니다. 물질의 몰 부피는 물질이 1몰일 때 차지하는 부피를 나타내며, 밀도와 몰 질량을 이용해 계산할 수 있습니다.
비중
비중은 물질의 밀도와 기준 물질(일반적으로 물)의 밀도와의 비율을 나타냅니다. 비중은 물질의 밀도를 물의 밀도로 나눈 값으로, 단위가 없는 무차원 수치입니다. 일반적으로 다음과 같이 정의됩니다.

기준 물질로서 물을 사용할 때, 4℃에서의 물의 밀도는 1 g/cm³이므로, 비중이 1보다 크면 물보다 밀도가 더 크고, 1보다 작으면 물보다 밀도가 더 낮다는 것을 의미합니다.
화학에서 비중의 중요성
- 물질의 특성 비교: 비중을 통해 물질의 밀도를 기준 물질과 비교할 수 있어, 물질의 물리적 성질을 이해하는 데 유용합니다. 예를 들어, 금속의 비중을 통해 그 물질의 밀도가 다른 금속들과 어떻게 비교되는지 알 수 있습니다.
- 액체 및 고체의 비교: 비중은 고체나 액체의 밀도를 비교할 때 유용합니다. 특히 액체의 비중은 물에 대한 상대적인 밀도를 나타내므로, 액체가 물에 떠 있는지 가라앉는지 여부를 예측할 수 있습니다.
이 세 가지 물리적 개념은 서로 밀접한 관계를 가지고 있습니다. 물질의 질량은 물체의 양을 나타내고, 밀도는 그 질량이 단위 부피에 얼마나 분포하는지를 나타냅니다. 비중은 밀도를 기준 물질인 물과 비교한 값으로, 물질의 밀도가 상대적으로 어떤지를 판단하는 데 사용됩니다.
예를 들어, 물질의 밀도가 알려져 있으면 그 물질의 비중을 쉽게 구할 수 있습니다. 또한 물질의 질량과 부피를 알면 밀도를 계산할 수 있으며, 이를 통해 비중을 구하는 과정도 가능해집니다. 예시로, 물질의 질량이 100g이고, 부피가 50cm³일 경우, 밀도는 2 g/cm³가 됩니다. 이때 비중은 2(비중) = 2/1(물의 밀도)로, 비중이 2임을 알 수 있습니다.
'일반화학' 카테고리의 다른 글
| 원자의 구조 그리고 보어의 원자모형 (1) | 2025.04.11 |
|---|---|
| 원소와 원자 (0) | 2025.04.11 |
| 일반화학의 정의(3) (4) | 2024.11.30 |
| 일반화학의 정의(2) (1) | 2024.11.30 |
| 일반화학의 정의(1) (0) | 2024.11.29 |